/*-------------------------------------------------------------------*/ /*Here adding the two files to use Google Code Prettify*/ /*-------------------------------------------------------------------*/ NOTE BOOK - Mathematics Sir
MID-TERM IS GOING TO COME STUDY FROM NOW 😤!!!!!


NOTE BOOK - Mathematics Sir

No comments

NOTE BOOK - Mathematics Sir 





Theorem:- every group of 3 is a cyclic
proof:-  






NOW by equation 1 -- we have  ab=e




 Division Algorithm



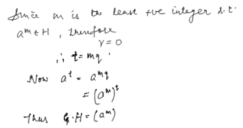
Theorem:-  every subgroup of a cyclic group is a cyclic 







































































No comments :

Post a Comment

Note: Only a member of this blog may post a comment.